-
아마존(AMZN)의 2025년 1분기 실적 발표를 바탕으로 한 주식 가치 평가투자정보 소개 2025. 5. 7. 09:40반응형
2025년 1분기 실적 발표 직후, 아마존(AMZN)은 전 세계 전자상거래와 클라우드 시장에서 다시 한번 견조한 성장세를 입증했습니다. 매출은 전년 동기 대비 9% 증가한 1,556.7억 달러, 영업이익은 20% 확대된 184.0억 달러, 순이익은 무려 64% 급증한 171.3억 달러를 기록하며 핵심 사업부문 모두에서 고른 개선을 보여주었습니다. 이러한 뛰어난 실적을 바탕으로 한 주당가치를 살펴보겠습니다. 2025년 5월 6일 기준 아마존의 주가 186.35달러를 바탕으로 주식가치 평가를 했습니다.

1. 2025년 1분기 실적 개요
아마존은 2025년 1분기에 전 세계적으로 1,556.7억 달러의 매출을 기록하며 전년 동기 대비 9% 성장을 달성했습니다. 특히, 환율 변동 영향을 제외하면 실제 매출 성장률은 10%로, 견조한 글로벌 수요 확대를 나타냅니다. 이 중 북미 매출은 929억 달러로 8% 증가했고, 국제 부문 매출은 335.1억 달러로 5% 상승했으며, 환율 조정 시 8% 성장률을 기록했습니다. AWS 매출은 293억 달러로 전년 동기 대비 17% 증가하며, 여전히 클라우드 시장에서의 강력한 리더십을 입증했습니다.
영업이익은 184.0억 달러로 전년 동기 153.1억 달러 대비 20% 늘었으며, 영업이익률(매출 대비 비율)은 11.8%로 크게 개선되었습니다. 부문별로는 북미 영업이익이 58.4억 달러(전년 동기 50.0억 달러), 국제 부문 영업이익이 10.2억 달러(전년 동기 9.0억 달러), AWS 영업이익이 115.5억 달러(전년 동기 94.2억 달러)를 기록하며 고른 성장을 시현했습니다.
순이익은 171.3억 달러(희석주당순이익 $1.59)로 전년 동기 104.3억 달러(희석주당순이익 $0.98) 대비 무려 64% 증가했습니다. 이러한 순이익 급증에는 외환 이익과 투자 수익이 일부 기여했으며, 영업현금흐름 또한 지난 12개월 누적으로 1,139.0억 달러를 기록해 전년 대비 15% 증가하는 등 재무 건전성도 더욱 강화되었습니다.
한편, 잉여현금흐름(Free Cash Flow)은 259.3억 달러로 전년 동기 501.4억 달러 대비 48% 감소했는데, 이는 클라우드 인프라 확장 및 물류 설비투자(CAPEX)가 크게 늘어난 데 따른 결과입니다. 분기 말 기준 보유 현금 및 현금성자산은 699.0억 달러, 총부채는 584.0억 달러로, 여전히 순현금 상태를 유지하고 있습니다.
CEO 앤디 재시는 “올해도 고객 경험 제고와 혁신 속도가 기대 이상으로 빠르게 진행되고 있다”며, Alexa+ 출시, Prime 배송 기록 경신, Trainium2 칩 및 Bedrock 모델 확대, 그리고 첫 번째 Project Kuiper 위성 발사 성공 등을 강조했습니다.2. 부문별 성장
아마존의 2025년 1분기 세그먼트별 실적은 각 사업 부문이 고유의 성장 동력을 통해 견조한 성과를 내고 있음을 보여줍니다.
(1) 북미(North America)
- 매출 성장: 1분기 매출은 $92.9B로 전년 동기 대비 8% 성장했으며, 환율 영향 제외 시에도 8% 증가를 기록
- 성장 동인: 가격 경쟁력 강화, 방대한 상품·서비스 선택지 확대, 빠른 배송 서비스가 꾸준히 고객 수요를 견인. 특히 타사 대비 우수한 프라임 배송 속도와 광고 매출의 지속적 확대가 매출 성장에 크게 기여
- 영업이익: 영업이익은 $5.8B로 전년 대비 17% 증가했고, 영업이익률은 6.3%를 기록하며 효율성이 개선. 배송 및 물류비가 다소 상승했으나, 광고 및 구독 서비스 수익 레버리지가 이를 상쇄.
(2) 국제(International)
- 매출 성장: 1분기 매출은 $33.5B로 전년 동기 대비 5% 성장했으며, 환율 조정 시 8% 증가해 현지 통화 기준 성장 유지
- 성장 동인: 각국 시장의 현지화 전략—가격·프로모션 최적화, 지역별 맞춤형 프라임 구독 서비스 확대—가 실적을 견인. 특히 유럽·아시아권에서 진행된 ‘Spring Deal Days’ 및 ‘Ramadan/Eid’ 세일 이벤트가 매출 확대에 기여.
- 영업이익: 영업이익은 $1.0B로 전년 동기 대비 13% 증가했으며, 영업이익률 3.0%를 유지. 물류·배송 비용 증가가 일부 부담으로 작용했으나, 광고 매출 성장과 로컬 셀러 플랫폼 수수료 확대가 이익 개선을 뒷받침.
(3) AWS
- 매출 성장: 1분기 매출은 $29.3B로 전년 동기 대비 17% 성장, 환율 영향 제외 시에도 동일한 17%의 성장률을 기록
- 성장 동인: 대기업·스타트업을 아우르는 고객층 확대와 신규 AI·머신러닝 서비스(Trainium2 칩, Bedrock 모델 등) 출시가 주된 성장 요인. 또한, 글로벌 데이터 센터 증설과 신규 리전 개설로 고객의 대규모 컴퓨팅 수요를 충족.
- 영업이익: 영업이익은 $11.5B로 전년 대비 23% 증가했으며, 영업이익률은 39.5%로 업계 최고 수준을. 효율적인 비용 관리와 고마진 서비스 비중 확대가 이익률 확대요인
이처럼 아마존의 각 세그먼트는 북미에서 물류 효율화와 구독·광고 매출 확대, 국제에서 지역 프로모션과 로컬라이제이션 전략, AWS에서 클라우드 인프라 확장과 AI 서비스 혁신을 통해 고유의 성장 모멘텀을 확보하고 있습니다.
3. 현금흐름 분석
(1) 영업활동 현금흐름 (Operating Cash Flow)
- 2025년 1분기 영업활동으로 인한 현금유입은 $17.0B로, 전년 동기($19.0 B) 대비 약 10.3% 감소
- 감소 요인 중 하나는 재고 감소 폭 축소(재고조정 변동이 –$1.2 B)와 매출채권 및 기타 자산 회수 지연(매출채권ㆍ기타 +$1.2 B)으로, 운전자본 부담이 증가
- 반면, 순이익 증가(+64% YoY)와 감가상각비·무형자산 상각비 확대(+ $2.6 B), 주식보상비용 조정(–$1.3 B 감소) 등 비현금성 비용 항목이 영업현금흐름에 긍정적으로 기여
(2) 투자활동 현금흐름 (Investing Cash Flow)
- 1분기 투자활동 현금유출은 –$29.8B로, 전년 동기(–$17.9 B) 대비 크게 확대
- 기술 인프라 및 물류망 확장을 위한 설비투자(CAPEX) $25.0 B(전년 $14.9 B)와 단기·중기 시장성증권 순매입($13.3 B)
- 전년 동기에는 Anthropic 전환사채 등 투자활동 지출 일부(약 $3.4 B)가 있었으나, 금번 분기에는 대체로 장비·인프라 투자에 집중
(3) 재무활동 현금흐름 (Financing Cash Flow)
- 분기 중 재무활동 현금흐름은 –$0.05B로, 전년 동기(–$1.3 B)에 비해 크게 감소
- 이는 단기·장기 부채 순상환 축소(2025년 Q1 상환 $2.6 B vs. 2024년 Q1 상환 $2.0 B)와 금융리스 채무 상환 감소($0.4 B → $0.1 B) 때문
(4) 잉여현금흐름 (Free Cash Flow)
- 잉여현금흐름 : $17.0 B – $25.0 B ≒ –$8.0 B
이처럼 아마존의 1분기 현금흐름 구조는 강력한 영업현금 창출력에도 불구하고, 대규모 설비투자 확대로 단기 잉여현금흐름이 마이너스를 기록했습니다. 중장기적으로 클라우드·물류 인프라 투자가 향후 수익성을 견인할 가능성이 높으나, 단기적 현금 유동성 관리와 투자 효율성에 대한 면밀한 모니터링이 필요합니다.
4. 상대가치 평가
상대가치 평가는 유사업종·유사사업 모델을 보유한 기업들의 주가수익비율(P/E), EV/EBITDA 등 배수를 활용해 대상 기업의 적정 주가 범위를 산출하는 방법입니다. 아마존(AMZN)에 대해 다음과 같은 단계로 진행했습니다.
(1) 비교 대상(peer) 그룹 선정
- 클라우드 사업: Microsoft (MSFT), Alphabet (google)
- 전자상거래: 주요 비교 대상으로는 MSFT·google을 활용
(2) 대상 기업 이익 지표 산출
- TTM(최근 12개월) 희석주당순이익(Diluted EPS) :
- TTM 순이익 $65.944 B, 희석평균주식수 10.793 B → EPS 약 $6.11
- 재무정보표 상 발표된 TTM EPS : $6.13
(3) 유사기업 P/E 배수 확보
- MSFT P/E : 33.55배 (2025년 5월 1일 기준 Bloomberg)
- google P/E : 19.83배 (2025년 5월 1일 기준 Bloomberg)
(4) 적정 주가 범위 도출
- MSFT 기준: 33.55 × $6.13 ≒ $205.6
- google 기준: 19.83 × $6.13 ≒ $121.5
- 밸류에이션 범위: $121.5 ~ $205.6
- 현 주가 비교 : 2025년 5월 6일 기준 AMZN 주가 $186.35 → 현 주가는 상대가치 범위의 상단(≈$205.6)과 중간(≈$163.5)
(5) 프리미엄·디스카운트 평가
- MSFT 배수 기준 대비 : $186.35 / $205.6 ≒ -9% 할인
- google 배수 기준 대비 : $186.35 / $121.5 ≒ +53% 프리미엄
(6) 결론
- 밸류에이션 범위 중심선(≈$163.5) 대비 약 +14% 프리미엄 수준으로, 현재 주가에는 아마존의 강력한 성장 잠재력(AWS·AI·물류 확장 등)이 선반영
- 다만, 업종 평균 대비 높은 멀티플이 적용된 만큼 단기 조정 리스크 있을 수 있음
5. 절대가치 평가
절대가치 평가는 기업이 향후 창출할 현금흐름을 할인해 기업 전체 가치를 산정한 뒤, 순부채를 조정해 지분가치를 도출하는 방식입니다. 아마존(AMZN)에 대해서는 다음과 같은 단계로 진행했습니다.
(1) 기초 잉여현금흐름(Free Cash Flow) 산정
- 최근 12개월(TTM) 기준으로 아마존의 잉여현금흐름은 $25.925 B
(2) 할인 기간 및 주요 가정 설정
- 예측 기간: 5년
- 연평균 FCF 성장률: 15%
- 예측 종료 후 영구 성장률(Terminal Growth Rate): 3%
- 할인율(WACC): 8% (자본비용 가정)
(3) 향후 5년 FCF 예측
- Year 1 : 25.925 × 1.15 = 29.814
- Year 2 : 29.814 × 1.15 = 34.286
- Year 3 : 34.286 × 1.15 = 39.429
- Year 4 : 39.429 × 1.15 = 45.343
- Year 5 : 45.343 × 1.15 = 52.144
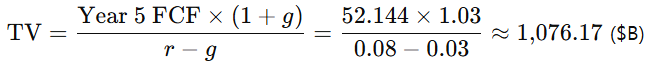
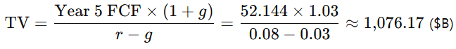
(4) 잔존 가치(Terminal Value) 산출

(5) 현재가치 산출
- 각 연도별 FCF와 Terminal Value를 할인율 8%로 현재가치(PV) 환산하여 합산 : $891.90B
(6) 순부채(Net Debt) 조정
- 분기말 현금·현금성자산: $69.893 B
- 총부채(장·단기 합계, Face Value): $58.750 B
- 순현금 상태: 69.893 − 58.750 = $11.143 B
(7) 지분가치 및 주당가치 산출
- 지분가치 (Equity Value) = $891.90 B + $11.143 B = $903.04 B
- 희석주식수: 10.793 B 주
- 주당가치 (Equity Value per Share) = 903.04 / 10.793 ≈ $83.7
이와 같이 산정된 절대가치(약 $84)는 현재 주가($186.35) 대비 45% 수준에 불과해, 현 주가에는 아마존의 빠른 성장 잠재력(AWS·AI·물류 확장 등)이 상당 부분 반영된 것으로 해석할 수 있습니다. 장기적 관점에서는 조정 구간을 활용한 분할 매수 기회로 고려할 만합니다.
6. 투자 리스크
(1) 대규모 투자에 따른 현금 흐름 변동성
아마존은 지속적인 인프라 확장과 기술 개발을 위해 막대한 설비투자(CAPEX)를 집행하고 있습니다. 2025년 1분기 설비투자 규모는 $25.0B로, 전년 동기 대비 약 68% 급증했습니다. 이로 인해 1분기 잉여현금흐름(Free Cash Flow)은 –$8.0B로 일시적 마이너스를 기록했으며, 단기적으로는 현금 유출이 영업현금흐름을 초과할 가능성이 큽니다. 따라서 향후 분기별 현금흐름 추이를 면밀히 관찰하고, 투자 효율성(ROI)과 투자 우선순위 조정 여부를 검토할 필요가 있습니다.
(2) 공급망 및 물류비용 상승 압박
북미·국제 부문 모두에서 물류·배송비가 상승하며 영업이익 개선폭을 제약하고 있습니다. 1분기 북미 물류비용 증가는 영업이익률을 전년 동기 6.0%에서 6.3%로 소폭 개선했으나, 국제 부문에서는 결제 조건 완화 및 물류비 상승으로 영업이익률이 3.0%에 그쳤습니다. 전 세계적인 인플레이션 압력과 운송비용 변동 리스크는 향후 분기 실적 변동성을 확대시키는 요인이므로, 공급망 최적화 여부가 중요한 관전 포인트가 될 것입니다.
(3) 규제·경쟁 심화 리스크
미국·유럽 등 주요 시장에서 디지털 플랫폼에 대한 독점·개인정보 규제 강화 움직임이 가시화되고 있습니다. 특히 프라임 멤버십과 AWS 클라우드 서비스에 대한 반독점 조사 가능성은 수익성 레버리지를 약화시킬 위험이 있습니다. 아울러, 클라우드 시장에서는 마이크로소프트(Azure), 구글(GCP) 등과 경쟁이 심화되며, 가격 인하 압박 및 시장 점유율 방어 비용이 상승할 전망입니다.
(4) 성장 모멘텀: 클라우드·AI·프라임 구독 확대
한편, AWS는 1분기 매출 $29.3B로 전년 동기 대비 17% 성장하며 업계 최고 수준의 영업이익률(39.5%)을 유지했습니다. 특히 Trainium2 AI 칩과 Bedrock AI 서비스 출시로 AI 수요를 선제적으로 흡수하고 있으며, 글로벌 데이터센터 리전 확장도 적극 추진 중입니다. 프라임 멤버십은 북미·국제 합산 가입자 수가 전년 대비 12% 증가했으며, 높은 해지율 방어력과 추가 서비스(프라임 비디오, 헬스케어 등)로 수익 레버리지가 지속되고 있습니다
7. 결론
현재 주가는 상대가치 및 절대가치 기준으로 고평가 구간에 위치해 있어, 중장기 투자 관점에서는 추가 조정 가능성을 염두에 둬야 합니다. 다만 AWS와 신규 성장 동력(AI·위성통신·자율주행 등)의 장기 잠재력은 매력적이므로, 조정 구간을 활용한 분할 매수 전략이 유효할 것으로 판단됩니다. 단기적으로는 현금흐름 변동성과 가격·규제 리스크를 감안해 주가 변동성을 대비하는 것이 필요합니다. 그러나 클라우드 혁신, 인공지능 확대, 프라임 생태계 강화라는 강력한 성장 모멘텀은 중장기적인 수익성 개선 및 밸류에이션 재평가를 이끌 것으로 기대됩니다. 투자자는 조정 구간에서 분할 매수를 통한 리스크 관리 전략을 검토할 것을 추천드립니다.
반응형'투자정보 소개' 카테고리의 다른 글
P&G(프록터 앤드 갬블)의 2025년 3월 실적 발표를 바탕으로 한 주식 가치 평가 (3) 2025.05.11 Alphabet의 2025년 1분기 실적 발표를 바탕으로 한 주식 가치 평가 (2) 2025.05.10 META의 2025년 1분기 실적 발표를 바탕으로 한 주식 가치 평가 (4) 2025.05.09 2025년 1분기 테슬라(TSLA) 실적 발표를 바탕으로 한 주식 가치 평가 (2) 2025.05.08 Apple의 2025년 3월 실적 기준을 바탕으로 한 주식 가치 평가 (4) 2025.05.06 Microsoft의 2025년 1분기 실적 발표를 바탕으로 한 주식 가치 평가 (4) 2025.05.06 주식 가치평가 이론적 기초-②(재무제표 기반 비율 분석, 수익률과 리스크, 실전 적용 전략) (2) 2025.05.05 주식 가치 평가 이론적 기초 - ① (주식 가치 평가의 개요, 상대가치 평가, 절대가치 평가) (4) 2025.05.05