-
주식 가치 평가 이론적 기초 - ① (주식 가치 평가의 개요, 상대가치 평가, 절대가치 평가)투자정보 소개 2025. 5. 5. 10:21반응형
주식 시장은 단순한 시세 차익을 넘어 기업의 내재 가치를 바탕으로 한 장기적 수익 창출이 핵심이지만, 이를 정확히 평가하는 일은 결코 쉽지 않습니다. 이번 편에서는 가치 투자와 기업 분석에 관심 있는 투자자분들에게 "왜 주식 가치 평가가 중요한지", "상대가치 평가(Multiple Analysis)와 절대가치 평가(Absolute Valuation)의 차이점은 무엇인지"에 대한 해답과 각 평가 방법별 활용사례와 유의사항 등 ‘주식 가치 평가(Valuation)’의 기본 개념부터 대표적인 분석 기법, 그리고 실제 투자 전략에의 적용 방안을 총망라하여 살펴보겠습니다.

1. 주식 가치 평가의 개요
주식 가치 평가는 시장 가격이 아닌 "기업의 본질가치(intrinsic value)"를 추정해 투자 판단을 내리는 과정입니다. 기본 개념은 ‘미래 현금흐름’과 ‘위험’을 반영한 "절대가치(Absolute Valuation)"와, 동종 업종·유사 기업의 '배수(Multiple)'를 비교하는 "상대가치(Relative Valuation)"로 구분됩니다.
- 언제 사용하는가? : IPO 시 공모가 산정, M&A 거래가격 협상, 대출·신용등급 평가, 펀드 투자 결정 등 각각의 목적에 따라 본질가치 혹은 상대가치 방식이 선택됩니다.
- 핵심 용어 :
- Market Cap: 시가총액 = 발행주식수 × 주가
- ROI / ROE / ROA: 투자수익률(Return on Investment), 자기자본순이익률(Return on Equity), 총자산순이익률(Return on Asset)
- WACC(가중평균자본비용): 자본조달 원가의 가중평균. Equity Cost(CAPM으로 산출)와 Debt Cost(유효이자율)에 법인세 감세효과를 반영.
- 평가 특징 : 객관성 확보를 위해 가정(성장률, 할인율 등)을 명확히 기술하고, 이해관계자별(투자자·대출기관·경영진)로 수요가 달라질 수 있음을 유의해야 합니다.
2. 상대가치 평가(Multiple Analysis)
상대가치 평가는 비교 가능한 Peer Group의 주요 재무 지표 배수를 활용해 대상 기업의 적정 가치를 산정하는 방법입니다. 단순히 개별 지표를 나열하는 수준을 넘어, 지표 유형, 비교 대상 선정, 계산 방식, 산업 특성을 종합적으로 고려해야 객관성과 신뢰도를 확보할 수 있습니다. 아래에서 주요 항목별로 세분화하여 설명합니다.
(1) Equity Multiples vs. Enterprise Multiples
- Equity Multiples (PER, PBR, PSR 등)은 주식 가치(Equity Value)만을 기준으로 산출합니다.
- PER (Price-to-Earnings Ratio) = 시가총액 ÷ 당기순이익
- PBR (Price-to-Book-value Ratio) = 시가총액 ÷ 순자산(자본총계)
- PSR (Price-to-Sales Ratio) = 시가총액 ÷ 매출액
- Enterprise Multiples (EV/EBITDA, EV/Sales 등)는 기업 전체 가치(Enterprise Value)를 기준으로,
- EV = 시가총액 + 순부채(부채 – 현금성자산)
- EBITDA Multiple = EV ÷ EBITDA
→ 기업이 실제 부담하는 인수 비용과 현금창출력을 종합 평가할 때 유리합니다
(2) Peer Group 선정
- 업종·규모·사업 모델이 유사한 상장사 또는 M&A 사례 5~8개를 선정해야 합니다.
- 매출, 순이익, EBITDA 규모가 큰 편차를 보이면, 배수를 비교할 때 왜곡될 수 있으므로 주의해야 합니다.
- 정상영업이익 조정: 비경상적 이익·손실, 일회성 비용(구조조정비, 자산매각이익 등)을 제거해 '정상화된' 지표를 사용합니다.
- 분기별 시즌성 반영: 계절업·사이클업종은 최소 4개 분기 평균을 활용해 일시적 변동을 완화합니다.
(3) Trailing vs. Forward Multiples
- Trailing Multiple은 과거 12개월(actual) 실적 기반 지표를 사용하며, 시장 반응이 빠르지만 성장 기대를 충분히 반영하지 못할 수 있습니다.
- Forward Multiple은 애널리스트 예상치(Next-12-Month, E1) 기반으로 산출하여, 기업 성장 전망을 선행 반영합니다.
- 일반적으로 EPS가 증가 추세이므로 Forward PER < Trailing PER이 되며, 낮은 Forward PER만으로 저평가라 단정하면 오류가 발생할 수 있습니다.
(4) 계산 방식: Mean vs. Median & Outlier 처리
- 평균(Mean)은 전체 Peer의 대표값을 보여주지만, 극단치에 민감합니다.
- 중앙값(Median)은 분포 중앙에 위치해 Outlier 영향을 덜 받으므로, 일반적으로 Median Multiple을 주배수로 활용합니다.
- 사분위수 분석(Q1–Q3 범위)을 함께 제시해, 평가 대상 기업의 배수 위치(상·하위 25% 구간)를 파악하면 리스크 관리를 강화할 수 있습니다.
(5) 산업별 특화 Multiple
- 자산집약 산업(제조업·부동산) : PBR·EV/EBITDA 중시
- 고성장 IT·서비스업 : PSR·EV/Sales 활용
- 스타트업·바이오 : EV/EBITDA 혹은 Price/Book(청산가치)로 보조 평가
- 리츠(REITs)·인프라 : Cap Rate(자본환원율) ≒ 1/EV/Sales 형태로 변형.
(6) 응용 사례
- Peer 데이터 수집: 공시·Bloomberg·Fnguide 등에서 종목별 지표 취합
- 조정 및 정규화: 비경상항목 제거, 분기 평균·반기 평균 산출
- Multiple 분포 분석: Mean, Median, Q1/Q3, Min/Max 등의 배수를 표로 정리
- 적정 배수 적용: Median Multiple에 대상기업의 정상화 실적(e.g. Adjusted EBITDA)을 곱해 가치 범위(Value Range) 산정
- Sensitivity 분석: 10%, 20% 배수 증감 구간별 내재가치 변동 시나리오 제시
예시
Multiple 유형 Peer Median Q1–Q3 범위 적용 실적 가치 산출 PER 12.5× 10.2–15.3× EPS 3,200원 40,000원 EV/EBITDA 8.0× 6.5–9.4× EBITDA 5,000억 30,000억 이처럼 다단계 절차와 정교한 데이터 조정을 거쳐야, 단순 비교를 넘어 현실적이고 신뢰도 높은 상대가치 평가가 가능합니다. 추가적으로, 절대가치 평가 결과와 Cross-Check 하여 투자 판단의 일관성을 확보하는 것을 권장합니다.
3. 절대가치 평가: DCF & 배당 할인 모형
절대가치 평가는 기업이 창출할 실질적 현금흐름 또는 배당을 기준으로 내재가치를 산정하는 기법입니다. 시장의 일시적 수급 변동과 무관하게 기업 본연의 가치에 접근할 수 있어, 장기 투자에서 핵심적인 역할을 합니다.
(1) DCF 모형 (Discounted Cash Flow)
정의: 미래에 예상되는 잉여현금흐름(Free Cash Flow to Firm, FCFF)을 적정 할인율(k)로 현재가치로 환산하여 합산한 값이 기업가치(V₀)가 됩니다.
DCF 산식

잉여현금흐름(FCFF) 산출

여기서 NOPAT은 세후영업이익, Dep는 감가상각비, CAPEX는 자본적 지출, ΔWC는 운전자본 변동액
할인율(k) : 일반적으로 WACC (가중평균자본비용)를 사용

는 자기 자본비용, Rd는 부채비용, Tc는 법인세율을 의미
말기 가치(Terminal Value, TV)
1. 영구 성장 모형 = FCFF(t+1) ÷ (k-g)- k는 할인율, g는 성장률
2. Exit Multiple 방식: 유사 기업의 EV/EBITDA 배수를 적용
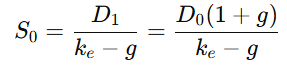
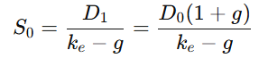
(2) 배당 할인 모형 (Dividend Discount Model, DDM)
정의: 주주에게 귀속되는 미래 배당금(Dₜ)을 할인율(ke)로 환산한 현재가치의 합이 주식가치(S₀)가 됩니다
고든 성장 모형 (Constant Growth Model)

- 여기서 D1은 다음기 배당, g는 배당 성장률이며 ke> g이어야 합니다.
- 성장률 g=b×ROE(b: 내부유보율)
다단계 성장 모형 (Supernormal Growth Model)
- 초기 고성장 기간(예: 3년, 연 20%) 후 안정 성장기(예: 연 4%)로 전환되는 경우, 각 단계별 할인·합산합니다.
- 예시 : 최근 EPS₀=7,200원, DPS₀=3,840원, ke=9%, 초기 3년 성장률 20%, 이후 4% 일 때,

(3) DCF vs. DDM 비교 및 선택
- DCF는 기업 전체가 당기와 말기에 창출할 모든 잉여현금흐름을 반영하므로, 배당 비지급 기업에도 적용 가능하지만, 가정 민감도(할인율·성장률)에 크게 의존합니다.
- DDM은 배당을 지급하는 우량 기업에 적합하며, 배당 안정성과 성향 유지가 전제됩니다. 일반적으로 DCF보다 보수적인 결과를 냅니다.
이처럼 절대가치 평가는 기업의 본질가치를 다양한 모형으로 교차 검증함으로써, 시장 가격과의 괴리율을 객관적으로 파악하고, 합리적 투자 판단을 지원합니다.
다음 편에서 주식 가치평가 이론적 기초-2(재무제표 기반 비율 분석, 수익률과 리스크, 실전 적용 전략)을 이어가겠습니다.
반응형'투자정보 소개' 카테고리의 다른 글
2025년 1분기 테슬라(TSLA) 실적 발표를 바탕으로 한 주식 가치 평가 (2) 2025.05.08 아마존(AMZN)의 2025년 1분기 실적 발표를 바탕으로 한 주식 가치 평가 (2) 2025.05.07 Apple의 2025년 3월 실적 기준을 바탕으로 한 주식 가치 평가 (4) 2025.05.06 Microsoft의 2025년 1분기 실적 발표를 바탕으로 한 주식 가치 평가 (4) 2025.05.06 주식 가치평가 이론적 기초-②(재무제표 기반 비율 분석, 수익률과 리스크, 실전 적용 전략) (2) 2025.05.05 2025년 버크셔 해서웨이(Berkshire Hathaway) 연례 주주총회 핵심정리 (4) 2025.05.04 AKR Invest 보고서 "Is AI truly disruptive?"의 파괴적 기술에 대하여 (2) 2025.04.27 ARK Invest의 “Big Ideas 2025” 보고서 소개 - 5가지 혁신 플랫폼 (6) 2025.04.26