-
국내 성장주/가치주 주식가치 평가 ① - APR코퍼레이션(2025년 1분기 실적 기반)투자정보 소개 2025. 6. 29. 08:50반응형
이번 포스팅에서는 뷰티·헬스·테크를 아우르며 급성장 중인 APR 코퍼레이션(Apr Corp.)의 2025년 1분기 실적을 바탕으로 주식가치평가를 진행해 보겠습니다. 화장품 중심의 소비재 기업에서 헬스케어와 테크 기반 플랫폼 기업으로의 전환을 꾀하는 APR의 전략적 움직임과 그 투자 가치를 소개합니다.

1. 회사 소개
1.1 기업 개요
APR은 패션·뷰티 브랜드를 중심으로 성장한 디지털 기반 소비재 회사로, 대표 브랜드에는 에이프릴스킨, 포맨트, 글램디, 너리싱, 에이피알랩스 등이 있습니다. 최근에는 헬스케어와 IoT 기반 뷰티기기, 글로벌 라이브커머스 플랫폼 등으로 사업영역을 확장 중입니다.
1.2 주요 사업 부문
- 뷰티 & 스킨케어: 에이프릴스킨 등 화장품 중심
- 헬스케어: 다이어트 식품, 이너뷰티 제품 중심의 '글램디'
- 테크 & 디바이스: 셀프 홈케어 뷰티기기 (에이피알랩스)
- 글로벌 커머스: 일본, 동남아, 북미 시장 중심의 해외진출 가속
1.3 성장 비전
APR은 단순한 화장품 기업에서 벗어나, ‘AI 기반 스마트 뷰티 헬스 플랫폼’ 구축을 목표로 하고 있습니다. 하드웨어(디바이스), 콘텐츠(헬스&뷰티), 플랫폼(글로벌 커머스)을 연계한 종합 헬스·뷰티 솔루션 기업으로의 도약이 기대됩니다.
2. 2025년 1분기 실적 개요
2.1 연결기준 실적
항목 2025년 1분기 전년동기 대비 매출액 955억원 +5% 증가 영업이익 101억원 -15.6% 감소 순이익 74억원 -24.8% 감소 영업이익률 10.6% -2.6%p 하락 2.2 실적 요약
- 매출은 해외 직접판매 확대 및 글로벌 플랫폼 강화에 따라 증가
- 영업이익과 순이익은 인건비, 마케팅비 등 비용 증가로 인해 감소
- 전반적으로 이익률은 하락했으나, 글로벌 사업 확장에 따른 전략적 투자로 해석 가능
3. 부문별 성장 모멘텀
3.1 제품별 매출 구성 변화
- 스킨케어 부문: 비중 축소 (전년 동기 대비 -8.6%), 일본 등 아시아 지역에서는 안정적 수요 유지
- 헬스케어 부문: 다이어트 및 이너뷰티 제품 중심으로 성과 견조
- 디바이스 부문 (APR랩스): 기술 고도화와 함께 YoY 기준 45.3% 성장
3.2 국가별 성장 전략
- 일본: 뷰티 제품 중심의 안정적인 매출 유지
- 미국: 콘텐츠 기반 마케팅 강화로 신규고객 유입 증가
- 동남아: SNS 기반 인플루언서 마케팅을 통한 인지도 상승
3.3 플랫폼 전략
- 글로벌 직구몰, 자사몰, 라이브커머스 강화
- 고객 충성도 높은 멤버십 유입 비중 증가
4. 현금흐름 및 재무구조 분석
4.1 재무 안정성
- 2025년 1분기 기준 부채비율 약 60% 수준
- 총 현금성 자산 약 300억원 이상으로 안정적
- 유상증자 및 순차입금 축소 노력 지속 중
4.2 투자 및 자금 운용 전략
- R&D 투자 확대: APR랩스 중심의 뷰티 디바이스 고도화
- 해외 물류센터 구축: 미국 내 풀필먼트 기반 배송 체계 강화
- 콘텐츠 제작: 인플루언서/브랜드 중심 자체 콘텐츠 강화로 플랫폼 자산화 진행
5. 상대가치 평가
5.1 동종업계 PER 비교
기업 PER (2025F 기준) APR 약 15.8배 클리오 약 19.5배 애경산업 약 14.3배 한국콜마 약 16.2배 - 성장주 프리미엄이 반영되어 상대적으로 높은 PER를 형성, 뷰티와 테크를 동시에 보유한 구조가 차별적 요인
5.2 EV/EBITDA 기준
- APR: 약 8.9배
- 산업 평균: 7.5~9.0배 수준
- EBITDA가 꾸준히 창출되며 재투자가 이루어지는 구조는 긍정적
6. 절대가치 평가
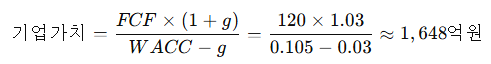
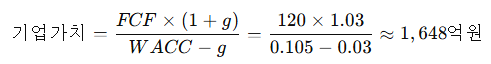
6.1 가정 및 변수 설정
- 2025 예상 FCF: 약 120억원
- WACC: 10.5%
- 영구성장률(g): 3%
6.2 평가 계산

6.3 비교 시가총액
- 2025년 6월 기준 시가총액 약 1,450억 원 수준
- 내재가치 대비 약 13%의 상승 여력 존재
7. 투자 리스크 및 기회 요인
7.1 기회 요인
- 뷰티-헬스-디바이스 연계 플랫폼 구조 확립
- 일본·미국 등 글로벌 커머스 확대에 따른 신규 고객 유입
- APR랩스 중심의 기술기반 성장 가능성
7.2 리스크 요인
- 마케팅/인건비 고정비 구조에 따른 수익성 변동성
- 해외시장(미국, 동남아) 정착에 필요한 초기 투자 비용
- 경쟁사 대비 브랜드 충성도 확보 필요성
8. 투자 의견
- APR은 기존 화장품 중심의 기업에서 헬스·테크를 아우르는 종합 소비재 기업으로의 전환을 적극적으로 추진 중
- 수익성 면에서는 단기적으로 다소 둔화되었으나, 플랫폼 및 글로벌 사업 확장을 위한 전략적 투자 국면 진입
- PER과 DCF 기준 모두 현재 주가는 내재가치 대비 저평가 구간, 중장기적 관점에서 주목할 만한 중소형 성장주
- 기술 기반 소비재 기업에 관심 있는 투자자라면 포트폴리오 분산 관점에서 괜찮은 종목으로 보입니다.
반응형'투자정보 소개' 카테고리의 다른 글
국내 성장주/가치주 주식가치 평가 ⑤ - LIG넥스원(2025년 1분기 실적 기반) (3) 2025.07.03 국내 성장주/가치주 주식가치 평가 ④ - 현대로템(2025년 1분기 실적 기반) (2) 2025.07.02 국내 성장주/가치주 주식가치 평가 ③ - 한화솔루션(2025년 1분기 실적 기반) (0) 2025.07.01 국내 성장주/가치주 주식가치 평가 ② - HD현대중공업(2025년 1분기 실적 기반) (2) 2025.06.30 국내 시가총액 상위기업 주식가치 평가 ⑩ - LG생활건강(2025년 1분기 실적 기준) (2) 2025.06.28 국내 시가총액 상위기업 주식가치 평가 ⑧ - 한화에어로스페이스(2025년 1분기 실적 기준) (4) 2025.06.26 국내 시가총액 상위기업 주식가치 평가 ⑦ - KB금융(2025년 1분기 실적 기준) (0) 2025.06.25 국내 시가총액 상위기업 주식가치 평가 ⑥ - NAVER(2025년 1분기 실적 기준) (0) 2025.06.24